从2023年一道高考题求解,看工具内容缺失后内容难度的提升
2025年陕西省将不再用高考乙卷,而要参加应用新高考卷1。
全国甲乙卷仍分文理,且有选考部分:极坐标与参数方程和不等式,二选一。
我们通过一道2023年全国甲卷(理)第20题,这道解析几何道题目的求解,看下人教版教材对于试题难度是如何做到提升的。
2023年高考数学全国甲卷(理)20题

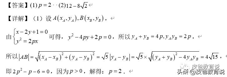
我们先看一下基本的求解办法:
2023年高考数学全国甲卷(理)20题求解过程


第2小问如此的麻烦,书写量如此之大。
有没有更好的求解办法?
有!如下:
2023年高考数学全国甲卷(理)20题第(2)问极化求解过程

简单的对比就会发现,采用极坐标的形式,运算量极大的减少,使得问题解决更加的简洁、明快,能让人感受到数学的内在美!
在明年高考后,这样的方法就不能再应用,新高考的孩子应用的人教版数学教材,拿掉了对于解析几何影响颇大的工具:极坐标和参数方程。
在题目没有变得很难,但是工具已经被拿掉时,也是另一种形式上难度的提升!
就像打一眼井,我有机械化的打井工具,那效率自然提升了不少,而且省人省事;现在必须又回到用铁锹,铁镐,人工来挖井。
以上提到的2023年全国甲卷的考题,运用极坐标非常的方便,以后《解析几何》丢失了一种得力、有效的解题工具,我们一起就用铁锹、铁镐挖呀挖吧!

点亮“关注”,与皮爸一起学习,
免责声明:由于无法甄别是否为投稿用户创作以及文章的准确性,本站尊重并保护知识产权,根据《信息网络传播权保护条例》,如我们转载的作品侵犯了您的权利,请您通知我们,请将本侵权页面网址发送邮件到qingge@88.com,深感抱歉,我们会做删除处理。
